
复习流体静平衡方程 估算太阳中心压强
直播开始,张朝阳先简短地给网友们复习了太阳的内部结构,并强调说,虽然这个直播课程以计算为主,但是限于所能获得的数据和计算工具,这里进行的计算只是估算,它可以给出和真实值接近的数量级,但在数值上可能会存在偏差,不过其偏差范围是可以容忍的。
随后又复习了上节课推导的流体静平衡方程。出发点与之前一样,考虑流体微元在太阳引力和气压之间的平衡。流体微元取在与太阳中心距离为r的位置,是底面积为dS、厚度为dr的沿径向的薄柱体。因为均匀球壳对球壳内部的物体不会有引力作用,所以这个流体微元所受的引力均来自于半径r以内的物质,这部分引力等效于所有这些物质均集中在球心处所产生的引力。微元受力平衡,列出方程为:

其中Mr是半径r内的所有物质质量,ρ为太阳内部密度且依赖于半径r。化简就得到流体静平衡方程:

张朝阳解释,这只是决定太阳内部结构的方程之一。太阳内部的物质可以看作是理想气体,因此有理想气体的物态方程:

在太阳中心dP/dr=0。这是因为在太阳中心附近Mr正比于r^3,因此dP/dr正比于r,从而导致r=0处dP/dr=0。
他再次介绍了太阳内部的密度分布。其中太阳中心处密度约为150 g/cm^3,超过黄金的密度;沿半径向外,密度逐渐下降,直至辐射区,密度降到约0.2 g/cm^3。随后将核心层的一些数据总结出来: Rc=Rs/4,Vc=Vs/64 (这两式中,下标c表示核心core,s表示太阳sun),并且核心平均密度约是辐射层平均密度的100倍,这样估算出来的核心层总质量约为太阳总质量的一半。
张朝阳表示,上次直播课使用的是Mc=0.9Ms,估算出来的中心压强偏大。按目前的数据,Mc=0.5Ms,可以重新得到太阳中心压强Pc为1.7×10^16 Pa,这个结果和目前公认的数值2.3×10^16 Pa更接近了。
估算辐射层压强公式 论述为何需考虑光压
紧接着,张朝阳写出上次课程所推导的估算太阳中心压强的公式,其中平均密度是质量除以体积,且基于这次课程对Mc的估算,把上次课程中的0.9改为0.5。:

代入Rc=Rs/4化简得到:

然后,把辐射层与核心层交界处的压强记为P1,接着对流体静平衡方程积分得到关于P1的公式:

对于上式,张朝阳讲解了估算思路,把Mr近似为核心层质量,密度用辐射层平均密度代替,于是得到:

他解释,这个公式和前面Pc的公式很相似,前面的因子大致相同,从而辐射层平均密度是核心层平均密度的多少分之一,就会导致P1是Pc的多少分之一。根据P1的公式,可以把辐射层的压强估算为:

也就是说,平衡所需的压强正比于密度的一次方。他又立马转到另一方面说道,辐射区的理想气体压强是:

它不仅正比于密度,还正比于温度,而温度是随着半径增大而下降的。他强调,理想气体的压强终究会下降到无法提供足够的压力与引力平衡。
张朝阳解释,必须考虑另一种压力,那就是光压。在核心层理想气体的压强很大,足以与引力形成平衡,并且光压很小,可以忽略。而到了辐射层,这一点就不成立了,物质气体提供的压强变得比较小,无法与引力形成平衡,这时候光压的作用相对来说更大,因此必须考虑光压才能重新得到平衡的结果。
他进一步解释,太阳核心产生的高能光子会在太阳内部不断地与离子碰撞,导致平均行进速度非常缓慢。在辐射层,这些光子会提供一个量级可观的压力,用以抵抗引力的收缩。照射到人身上的太阳光的光压是很小的,我们感受不到。但是在太阳内部这种极端环境下,光压会非常大。
推导黑体辐射的光压公式 估算太阳辐射层光压量级
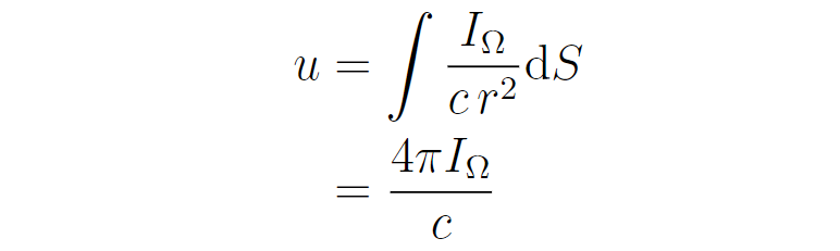
为了进一步分析辐射层的光压,张朝阳先带网友们推导黑体辐射的压力公式。他将黑体辐射的能量密度记为u,黑体辐射通量密度为I,根据斯特番-波耳兹曼定律,I=σT^4。辐射通量密度是指黑体单位表面单位时间所辐射的能量,它包含了各个方向的辐射,因此,还需要考虑沿特定方向的单位时间单位面积辐射的能量,即面辐射强度。张朝阳将面辐射强度记为I_Ω,其中Ω是下标,用于标明它是沿特定立体角的辐射能量。
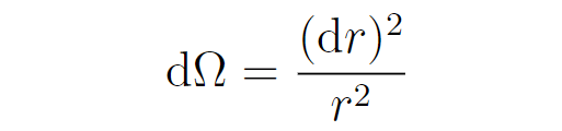
他先建立u和I_Ω的关系。张朝阳表示,某一处的辐射能量,可以看成是由包裹住这一处的球表面所发射的辐射汇聚而成的。为了简化,我们考虑一个半径为r的球面,然后计算球心(dr)^3范围内的辐射能量密度。取球面处的面积微元dS,则球心处大小为(dr)^3的区域对dS的张角dΩ为:

设从dS发出的辐射逗留在(dr)^3里的时间为dt,那么dt=dr/c,其中c是光速。所以,从dS发出逗留在(dr)^3的辐射能为:

其中已经代入dΩ的公式。将这个结果除以(dr)^3就得到微元dS提供在球心处的能量密度:

对这个结果沿着整个球面积分就得到球心的能量密度:

或者等价地有I_Ω=uc/(4π)。紧接着,再推导u和I的关系。根据定义有:

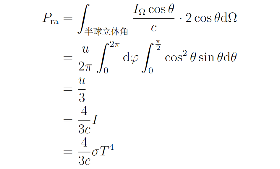
其中已经代入I_Ω=uc/(4π)用以化简。接下来,开始推导辐射对黑体表面的压强。当系统达到平衡时,黑体吸收多少辐射就会发射多少辐射,因此可以等效为辐射照射到黑体表面后被完全反射出来。另一方面,不同频率的光子其能量和动量是不一样的,因此需要单独考虑每个频率,从而要把I_Ω看成关于频率的积分:

张朝阳表示,对于以θ角入射的频率为ν的光,除以光子能量hν就可以算出入射光子数,由于每个光子动量为hν/c,考虑角度θ导致的投影,就可以得到单位时间单位面积上以立体角dΩ入射的dν频段的光子所传递的动量:

其中因子2是考虑了反射,即动量改变要乘以2。单位时间的动量改变就等于力,再加上考虑的是单位面积,因此上式就是这部分光对黑体的压强。注意上式的两处hν刚好消掉,因此对整个频段的积分其实就只是对I_Ω(ν)的积分,对I_Ω(ν)的整个频段积分结果是I_Ω。再对整个半球立体角积分就可以得到总压强:

下图就是张朝阳在直播课上推导出的黑体辐射压强与温度的关系式:

(张朝阳推导黑体辐射压强公式)
接着,他将刚刚得到的黑体辐射压强公式应用到计算太阳辐射层光压的场景中。张朝阳打趣道,现在气体压强的“援军”到了,我们还需要知道这个“援军”能不能抵抗住引力的压缩。因为太阳中心温度是一千多万开尔文,而温度随着半径的下降是相对缓慢的,因此张朝阳假设辐射层温度为700万开尔文,将其代入光压公式,得到光压约为10^12 Pa量级(注:具体代入相关数据后得到的值约为6×10^11 Pa)。
他指出,前面估算得到太阳中心压强是1.7×10^16 Pa,如果辐射层某处密度是核心层平均密度的千分之一,那么根据前面的推导,辐射层这一处的压强就是1.7×10^13 Pa。假如温度的缓慢下降使得气体压强不足以提供所需的1.7×10^13 Pa,根据刚刚推导的光压量级,光子是有望提供相应的压强作为补充的。
持续打造知识直播平台 搜狐视频吸引诸多科普播主入驻
截至目前,《张朝阳的物理课》已直播四十余期。从去年11月开启第一节物理直播课,他先是从经典物理学开始,科普了牛顿运动定律等;而后从经典物理的“两朵乌云”说起,向近现代物理过渡,探讨了黑体辐射理论中的维恩公式、普朗克公式等知识。此后逐步进入量子力学领域,从基础的薛定谔方程等理论内容,到氢原子波函数,再到气体定容比热的温度阶梯等更加具体实用的案例。内容丰富、覆盖广泛,理论公式由浅入深、繁简交融。
《张朝阳的物理课》的直播风格独树一帜:注重推导,通过一步一步详尽的数学计算,推导出相关的物理公式,把每个公式从头到尾拆解得十分清晰。据了解,《张朝阳的物理课》于每周周五、周日12时在搜狐视频直播,网友可以在搜狐视频“关注流”中搜索“张朝阳”,观看直播及往期完整视频回放。
除了《张朝阳的物理课》外,在直播方面,搜狐视频正持续打造知识直播平台,邀请各领域的头部播主入驻,进行科普知识直播。陆续拓展和覆盖了自然科学和人文科学等各学科领域,包括基础类的数学、物理、天文、地理、生物、古生物、植物学等,应用类的计算机、光学工程、航空航天技术等,与人们生活密切相关的人体、心理、食品、运动科学等,以及充满人文气息的古代文化相关内容。
其中,中国运载火箭技术研究院专家钱航,在搜狐视频直播讲述航空航天事业发展史;中国科学院基因组学博士、元码基因创始人田埂讲解基因组学与生活的紧密联系;香港科技大学物理系副教授王一则为网友介绍20 世纪以来物理学的发展历程。此外,北京交通大学理学院教师陈征博士线上直播开课“奇趣的科学实验”;康奈尔大学物理化学博士包坤,化身“包大人玩科学”,教普通人看懂2021年诺贝尔奖;还有天体物理博士刘博洋科普“日全食是怎么产生的”;理论物理博士周思益也开通“弦论世界”直播课等。未来还将有更多知识播主入驻搜狐视频,一起互动玩转科学。
① 凡本站注明“稿件来源:中国教育在线”的所有文字、图片和音视频稿件,版权均属本网所有,任何媒体、网站或个人未经本网协议授权不得转载、链接、转贴或以其他方式复制发表。已经本站协议授权的媒体、网站,在下载使用时必须注明“稿件来源:中国教育在线”,违者本站将依法追究责任。
② 本站注明稿件来源为其他媒体的文/图等稿件均为转载稿,本站转载出于非商业性的教育和科研之目的,并不意味着赞同其观点或证实其内容的真实性。如转载稿涉及版权等问题,请作者在两周内速来电或来函联系。




教育在线
